Nanjing SiSiB Silicones Co., Ltd.
Nanjing SiSiB Silicones Co., Ltd.
SiSiB® HF2030-M10000
SiSiB® HF2030-M10000

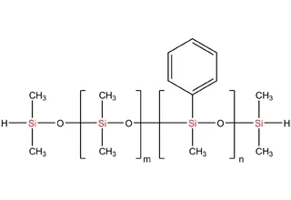
Hydrogen Terminated Polydimethylsiloxane

SiSiB® HF2030-M10000 is a hydride terminated polydimethylsiloxane, which molecular weight is around 10000.


SiSiB® HF2030-M10000

Technical Data


CAS No.

70900-21-9

Flash Point

>93°C

Color and Appearance

Colorless clear liquid

Molecular Weight

10000

Specific Gravity 25°C

0.971

Refractive Index 25°C

1.403

Hydrogen Content wt%

0.02%

SiH Content

0.2mmol/g

Viscosity 25°C

cSt

Active Ingredient

100%




Remark: Other Hydrogen contents and viscosity levels can be made upon request.


Application


  • SiSiB® HF2030 can be used as a reactive intermediate to make ABA organo-modified silicones via hydrosilations. Functional groups normally attached in this way include allyl terminated polyethylene or polypropylene glycols, amines, and epoxies.


  • SiSiB® HF2030 can be used as chain extender and crosslinker for addition cure liquid silicone rubber. It is used in conjunction with crosslinking hydrides to increase elongation and tear strength and lower durometer.


  • SiSiB® HF2030 can be used for water repellent treatment of textiles.


Packing and Storage



  • In the original unopened packaging, SiSiB® HF2030 has a shelf life of one year in a dry and cool place.


Sample? Literature? Pricing? Technical?
Recommended Hydrogen Silicone Fluids Products
SiSiB® HF2030-M10000