Nanjing SiSiB Silicones Co., Ltd.
Nanjing SiSiB Silicones Co., Ltd.
SiSiB® HF2082
SiSiB® HF2082

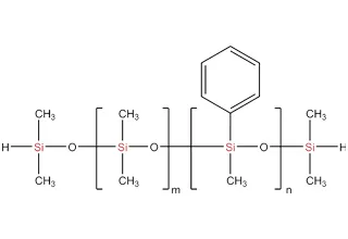
SiSiB® HF2082 is a hydride terminated phenyl silicone fluid; it is a colorless liquid. It has active hydride (Si-H) groups at the chain ends, combined with methyl and phenyl groups, to achieve a balance of flexibility, thermal stability, and chemical resistance.

SiSiB® HF2082

Physical Properties


Color and Appearance

Colorless clear liquid

Active Ingredient

100%

Refractive Index 25°C

1.540-1.545

Hydrogen Content

0.367%

Viscosity 25°C

50 cSt

These values are typical and not intended for specification purposes.

Application


  • SiSiB® HF2082 is primarily used as a crosslinker for addition-cured silicone elastomers, imparting superior properties to the end product, including strong aging resistance, excellent UV stability, and no yellowing even after extended use.


  • In the LED industry, SiSiB® HF2082 is commonly used for potting, bonding, and encapsulation. It is particularly valuable in the production of silicone encapsulation materials for high-power LEDs, as well as potting, sealing, bonding, and coatings for the optoelectronics, electronics, and microelectronics industries. It is also used to develop high-transparency, high-hardness lenses and other specialty applications.


Packing and Storage


SiSiB® HF2082 is supplied in 20Kg plastic drum, 190Kg steel drum or 900Kg IBC tote.


In the original unopened packaging, SiSiB® AF8250-15 has a shelf life of 24 months in a dry and cool place.

Sample? Literature? Pricing? Technical?
Recommended Hydrogen Silicone Fluids Products
SiSiB® HF2082